25. The Solow-Swan Growth Model#
In this lecture we review a famous model due to Robert Solow (1925–2023) and Trevor Swan (1918–1989).
The model is used to study growth over the long run.
Although the model is simple, it contains some interesting lessons.
We will use the following imports.
import matplotlib.pyplot as plt
import numpy as np
25.1. The model#
In a Solow–Swan economy, agents save a fixed fraction of their current incomes.
Savings sustain or increase the stock of capital.
Capital is combined with labor to produce output, which in turn is paid out to workers and owners of capital.
To keep things simple, we ignore population and productivity growth.
For each integer 
The function 
Production functions with this property include
the Cobb-Douglas function
 with .the CES function
 with .
Here, 
We assume a closed economy, so aggregate domestic investment equals aggregate domestic saving.
The saving rate is a constant 
Capital depreciates: without replenishing through investment, one unit of capital today
becomes 
Thus,
Without population growth, 
Setting 
With  
Our aim is to learn about the evolution of 
25.2. A graphical perspective#
To understand the dynamics of the sequence 
To do so, we first
need to specify the functional form for 
We choose the Cobb–Douglas specification 
The function 
Let’s define the constants.
A, s, alpha, delta = 2, 0.3, 0.3, 0.4
x0 = 0.25
xmin, xmax = 0, 3
Now, we define the function 
def g(A, s, alpha, delta, k):
    return A * s * k**alpha + (1 - delta) * k
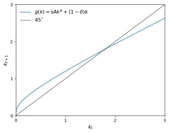
Let’s plot the 45-degree diagram of 
def plot45(kstar=None):
    xgrid = np.linspace(xmin, xmax, 12000)
    fig, ax = plt.subplots()
    ax.set_xlim(xmin, xmax)
    g_values = g(A, s, alpha, delta, xgrid)
    ymin, ymax = np.min(g_values), np.max(g_values)
    ax.set_ylim(ymin, ymax)
    lb = r'$g(k) = sAk^{\alpha} + (1 - \delta)k$'
    ax.plot(xgrid, g_values,  lw=2, alpha=0.6, label=lb)
    ax.plot(xgrid, xgrid, 'k-', lw=1, alpha=0.7, label=r'$45^{\circ}$')
    if kstar:
        fps = (kstar,)
        ax.plot(fps, fps, 'go', ms=10, alpha=0.6)
        ax.annotate(r'$k^* = (sA / \delta)^{(1/(1-\alpha))}$',
                 xy=(kstar, kstar),
                 xycoords='data',
                 xytext=(-40, -60),
                 textcoords='offset points',
                 fontsize=14,
                 arrowprops=dict(arrowstyle="->"))
    ax.legend(loc='upper left', frameon=False, fontsize=12)
    ax.set_xticks((0, 1, 2, 3))
    ax.set_yticks((0, 1, 2, 3))
    ax.set_xlabel('$k_t$', fontsize=12)
    ax.set_ylabel('$k_{t+1}$', fontsize=12)
    plt.show()
Suppose, at some 
Then we have 
If 
If 
(A steady state of the model is a fixed point of the mapping 
From the shape of the function 
It solves 
If initial capital is below 
If initial capital is above this level, then the reverse is true.
Let’s plot the 45-degree diagram to show the 
From our graphical analysis, it appears that 
This is a form of global stability.
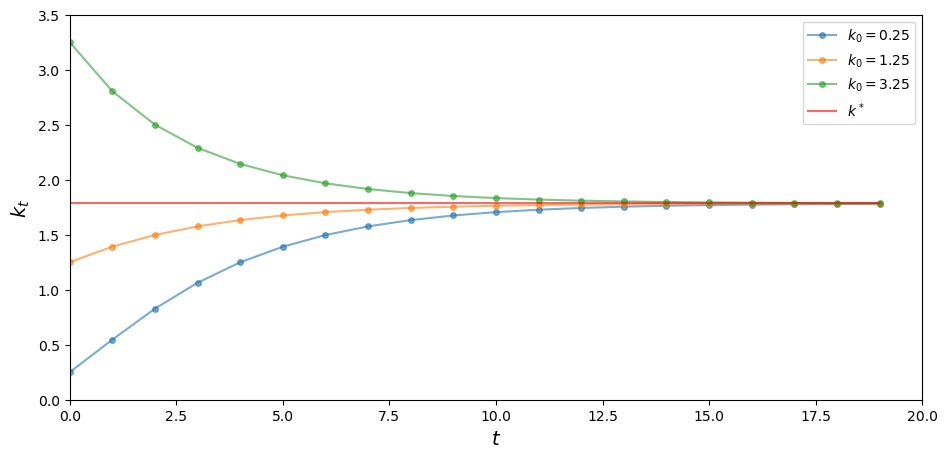
The next figure shows three time paths for capital, from three distinct initial conditions, under the parameterization listed above.
At this parameterization, 
Let’s define the constants and three distinct initial conditions
A, s, alpha, delta = 2, 0.3, 0.3, 0.4
x0 = np.array([.25, 1.25, 3.25])
ts_length = 20
xmin, xmax = 0, ts_length
ymin, ymax = 0, 3.5
def simulate_ts(x0_values, ts_length):
    k_star = (s * A / delta)**(1/(1-alpha))
    fig, ax = plt.subplots(figsize=[11, 5])
    ax.set_xlim(xmin, xmax)
    ax.set_ylim(ymin, ymax)
    ts = np.zeros(ts_length)
    # simulate and plot time series
    for x_init in x0_values:
        ts[0] = x_init
        for t in range(1, ts_length):
            ts[t] = g(A, s, alpha, delta, ts[t-1])
        ax.plot(np.arange(ts_length), ts, '-o', ms=4, alpha=0.6,
                label=r'$k_0=%g$' %x_init)
    ax.plot(np.arange(ts_length), np.full(ts_length,k_star),
            alpha=0.6, color='red', label=r'$k^*$')
    ax.legend(fontsize=10)
    ax.set_xlabel(r'$t$', fontsize=14)
    ax.set_ylabel(r'$k_t$', fontsize=14)
    plt.show()
As expected, the time paths in the figure all converge to 
25.3. Growth in continuous time#
In this section, we investigate a continuous time version of the Solow–Swan growth model.
We will see how the smoothing provided by continuous time can simplify our analysis.
Recall  that the discrete time dynamics for capital are
given by 
A simple rearrangement gives the rate of change per unit of time:
Taking the time step to zero gives the continuous time limit
Our aim is to learn about the evolution of 
A steady state for (25.3) is a value 
We assume
The solution is the same as the discrete time case—see (25.2).
The dynamics are represented in the next figure, maintaining the parameterization we used above.
Writing 
When 
To see this in a figure, let’s define the constants
A, s, alpha, delta = 2, 0.3, 0.3, 0.4
Next we define the function 
def g_con(A, s, alpha, delta, k):
    return A * s * k**alpha - delta * k
def plot_gcon(kstar=None):
    k_grid = np.linspace(0, 2.8, 10000)
    fig, ax = plt.subplots(figsize=[11, 5])
    ax.plot(k_grid, g_con(A, s, alpha, delta, k_grid), label='$g(k)$')
    ax.plot(k_grid, 0 * k_grid, label="$k'=0$")
    if kstar:
        fps = (kstar,)
        ax.plot(fps, 0, 'go', ms=10, alpha=0.6)
        ax.annotate(r'$k^* = (sA / \delta)^{(1/(1-\alpha))}$',
                 xy=(kstar, 0),
                 xycoords='data',
                 xytext=(0, 60),
                 textcoords='offset points',
                 fontsize=12,
                 arrowprops=dict(arrowstyle="->"))
    ax.legend(loc='lower left', fontsize=12)
    ax.set_xlabel("$k$",fontsize=10)
    ax.set_ylabel("$k'$", fontsize=10)
    ax.set_xticks((0, 1, 2, 3))
    ax.set_yticks((-0.3, 0, 0.3))
    plt.show()
This shows global stability heuristically for a fixed parameterization, but how would we show the same thing formally for a continuum of plausible parameters?
In the discrete time case, a neat expression for 
In continuous time the process is easier: we can obtain a relatively simple
expression for 
The first step is
to set 
Substituting into 
This equation, which is a linear ordinary differential equation, has the solution
(You can confirm that this function 
Converting back to 
Since 
Thus, global stability holds.
25.4. Exercises#
Exercise 25.1
Plot per capita consumption 
Use the Cobb–Douglas specification 
Set 
Also, find the approximate value of 
Solution to Exercise 25.1
Steady state consumption at savings rate 
A = 2.0
alpha = 0.3
delta = 0.5
s_grid = np.linspace(0, 1, 1000)
k_star = ((s_grid * A) / delta)**(1/(1 - alpha))
c_star = (1 - s_grid) * A * k_star ** alpha
Let’s find the value of minimize_scalar finds the minimum value.
from scipy.optimize import minimize_scalar
def calc_c_star(s):
    k = ((s * A) / delta)**(1/(1 - alpha))
    return - (1 - s) * A * k ** alpha
return_values = minimize_scalar(calc_c_star, bounds=(0, 1))
s_star_max = return_values.x
c_star_max = -return_values.fun
print(f"Function is maximized at s = {round(s_star_max, 4)}")
Function is maximized at s = 0.3
x_s_max = np.array([s_star_max, s_star_max])
y_s_max = np.array([0, c_star_max])
fig, ax = plt.subplots(figsize=[11, 5])
fps = (c_star_max,)
# Highlight the maximum point with a marker
ax.plot((s_star_max, ), (c_star_max,), 'go', ms=8, alpha=0.6)
ax.annotate(r'$s^*$',
         xy=(s_star_max, c_star_max),
         xycoords='data',
         xytext=(20, -50),
         textcoords='offset points',
         fontsize=12,
         arrowprops=dict(arrowstyle="->"))
ax.plot(s_grid, c_star, label=r'$c*(s)$')
ax.plot(x_s_max, y_s_max, alpha=0.5, ls='dotted')
ax.set_xlabel(r'$s$')
ax.set_ylabel(r'$c^*(s)$')
ax.legend()
plt.show()
One can also try to solve this mathematically by differentiating 
from sympy import solve, Symbol
s_symbol = Symbol('s', real=True)
k = ((s_symbol * A) / delta)**(1/(1 - alpha))
c = (1 - s_symbol) * A * k ** alpha
Let’s differentiate 
# Solve using sympy
s_star = solve(c.diff())[0]
print(f"s_star = {s_star}")
s_star = 0.300000000000000
Incidentally, the rate of savings which maximizes steady state level of per capita consumption is called the Golden Rule savings rate.
Exercise 25.2
Stochastic Productivity
To bring the Solow–Swan model closer to data, we need to think about handling random fluctuations in aggregate quantities.
Among other things, this will
eliminate the unrealistic prediction that per-capita output 
We shift to discrete time for the following discussion.
One approach is to replace constant productivity with some
stochastic sequence 
Dynamics are now
We suppose 
Now the long run convergence obtained in the deterministic case breaks down, since the system is hit with new shocks at each point in time.
Consider 
Generate and plot the time series 
Solution to Exercise 25.2
Let’s define the constants for lognormal distribution and initial values used for simulation
# Define the constants
sig = 0.2
mu = np.log(2) - sig**2 / 2
A = 2.0
s = 0.6
alpha = 0.3
delta = 0.5
x0 = [.25, 3.25] # list of initial values used for simulation
Let’s define the function k_next to find the next value of 
def lgnorm():
    return np.exp(mu + sig * np.random.randn())
def k_next(s, alpha, delta, k):
    return lgnorm() * s * k**alpha + (1 - delta) * k
def ts_plot(x_values, ts_length):
    fig, ax = plt.subplots(figsize=[11, 5])
    ts = np.zeros(ts_length)
    # simulate and plot time series
    for x_init in x_values:
        ts[0] = x_init
        for t in range(1, ts_length):
            ts[t] = k_next(s, alpha, delta, ts[t-1])
        ax.plot(np.arange(ts_length), ts, '-o', ms=4,
                alpha=0.6, label=r'$k_0=%g$' %x_init)
    ax.legend(loc='best', fontsize=10)
    ax.set_xlabel(r'$t$', fontsize=12)
    ax.set_ylabel(r'$k_t$', fontsize=12)
    plt.show()





